Section C: Give a long answer to the question given below.
Derive equations of motion by graphical method.
Solution:
An object is in motion with \(initial\ velocity\ u\) attains a \(final\ velocity\ v\) in \(time\ t\) due to \(acceleration\ a\), with \(displacement\ S\).
Let us try to derive these equations by graphical method.
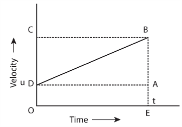
Equations of motion from velocity – time graph:

From the above graph, we can observe that the velocity changes with time for a uniformly accelerated object.
The object starts from the point \(D\) in the graph with velocity \(u\). The velocity of an object keeps increasing, and after time \((t)\), it reaches the point \(B\) on the graph.
Therefore,
The initial velocity of the object,
Then, the final velocity of an object,
Time,
From the graph, we can also find that \(AB\ =\ DC\)
i) First equation of motion:
We already knew that acceleration,
Substitute the values and simplifying,
First equation of motion,
Second equation of motion,
Third equation of motion,